Considerada uma das doenças mais devastadoras que acometem a soja, a ferrugem-asiática, causada pelo fungo (Phakopsora pachyrhizi) pode ocasionar perdas expressivas da produtividade, chegando até mesmo a comprometer o rendimento da lavoura. O fungo é considerado policíclico, ou seja, possui a capacidade em completar múltiplos ciclos de infecção ao longo do ciclo de desenvolvimento da planta, resultando na capacidade do patógeno em acometer a cultura em qualquer estádio do seu desenvolvimento.
Essa condição dificulta o manejo efetivo da ferrugem-asiática, tornando necessário o monitoramento constante e a adoção de medidas de manejo proativas para reduzir a gravidade das infecções. Dependendo da severidade da doença, período em que acomete a soja e suscetibilidade da cultivar, perdas de produtividade variando entre 10% a 90% podem ser observadas (Godoy, et al., 2024).
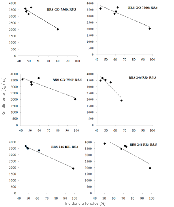
Estimando os danos ocasionados pela ferrugem-asiática em soja, Danelli; Reis; Boaretto (2015) constataram que para cada 1% de incidência foliolar de ferrugem perde-se até 9,02 Kg/ha, correspondendo a perdas de produtividade de 13,34 a 127,4 kg/ha/1 lesão/cm² (para densidade de lesões) e de 5,53 a 110,0 kg/ha/1 uredínio/cm² (para densidade de uredías).
Figura 1. Relação entre incidência de folíolos (%) e rendimento de grãos (patossistema da soja x ferrugem asiática da soja) para BRS GO 7560 e BRS 246 RR no estágio fenológico R5.3, R5.4 e R5.5.

Considerando o elevado impacto econômico que a ferrugem-asiática pode causar na cultura da soja, é essencial adotar estratégias de manejo eficientes para reduzir perdas de produtividade. Como a doença pode ocorrer em qualquer estádio do desenvolvimento da planta, o monitoramento deve começar logo nos estádios iniciais, principalmente quando há condições favoráveis ao desenvolvimento do fungo, presença de esporos ou relatos da doença em áreas próximas.
A infecção pelo fungo Phakopsora pachyrhizi depende não apenas da presença de inóculo, mas também de condições ambientais específicas, como temperaturas amenas e a presença de água livre na superfície foliar. A taxa de infecção é máxima quando ocorrem de 10 a 12 horas de molhamento foliar contínuo (Soares et al., 2023). Devido à sua agressividade, é fundamental detectar a doença ainda nos estádios iniciais de desenvolvimento, para possibilitar intervenções mais eficazes.
Os primeiros sintomas geralmente surgem no terço inferior da planta, manifestando-se como pequenas pontuações (com até 1 mm de diâmetro) de coloração esverdeada a cinza-esverdeada, mais escuras que o tecido saudável da folha (Figura 2). A confirmação visual da ferrugem ocorre pela observação, no verso das folhas (face abaxial), de saliências semelhantes a pequenas bolhas ou feridas, que correspondem às estruturas de reprodução do fungo (urédias). Essa identificação pode ser facilitada com o uso de lupa de 20 a 30 aumentos ou sob microscópio estereoscópico (Embrapa, s. d.).
O monitoramento deve ser mantido desde a emergência da cultura, com maior intensidade próximo fechamento das entrelinhas e no florescimento da soja, sobretudo em regiões com presença confirmada da doença. Devem ser coletadas folhas dos terços médio e inferior da planta e observadas contra a luz, em busca das pontuações escuras características (Figura 2).
Figura 2. Folha de soja observada contra a luz. Pontos escuros podem ser sintomas da ferrugem-asiática.

Em caso de dúvida quanto à presença da doença, recomenda-se utilizar uma câmara úmida: basta colocar as folhas suspeitas em um saco plástico junto a um pedaço de papel ou algodão umedecido, soprar ar para inflar e fechar o saco, formando um pequeno balão. O material deve ser mantido em ambiente fresco e à temperatura ambiente por 12 a 24 horas. Nesse período, o fungo pode formar urédias com uredosporos visíveis, facilitando a confirmação diagnóstica (Godoy et al., 2017) (Figura 3).
Figura 3. Câmara úmida com saco plástico e papel (ou algodão) umedecido para induzir a formação das estruturas reprodutivas de Phakopsora pachyrhizi.

O monitoramento da ferrugem deve se estender até a fase final do enchimento dos grãos. A partir de R7, onde ocorre o máximo acúmulo de matéria seca nos grãos, e a planta não absorve mais água nem nutrientes, pode-se sessar o monitoramento e controle da ferrugem, sem danos econômicos.
Para melhor monitoramento das condições regionais referentes a ocorrência da doença, pode-se utilizar de ferramentas de monitoramento como o coletor de esporos a plataformas que acompanham a evolução dos casos de ferrugem-asiática como o Consórcio Antiferrugem. A plataforma é disponível via site e aplicativo, e permite acompanhar a evolução dos casos de ocorrência de ferrugem-asiática em soja voluntária, em lavouras de soja e as áreas com a presença de esporos do fungo.
Já o coletor de esporos (figura 4), possibilita detectar os uredosporos do fungo causador da ferrugem-asiática, transportados pelo vento, antes da manifestação sintomática nas plantas, possibilitando assim o manejo técnico e econômico da doença (Oliveira et al., 2020). No entanto, não necessariamente a presença de esporos de ferrugem no coletor de esporos resulte na ocorrência da doença, uma vez que esporos inviáveis podem ser observados, e dependendo das condições ambientais a infecção pode não ocorrer. Contudo, o coletor de esporos é uma ferramenta auxiliar fundamental no manejo da ferrugem-asiática, servindo como alerta para a ocorrência da doença.
Figura 4. Tubo do coletor de esporos visto de frente mostrando o suporte com a lâmina de vidro acoplada.

Vale destacar que visando reduzir o impacto econômico da ferrugem-asiática na lavoura, dada a elevada agressividade da doença, além do monitoramento constante da área de produção, e evolução dos casos de ferrugem-asiática em áreas vizinhas, recomenda-se que todas as medidas de controle da ferrugem sejam adotadas de forma preventiva a ocorrência da doença.
Referências:
DANELLI, A. L. D.; REIS, E. M.; BORETTO, C. CRITICAL-POINT MODEL TO ESTIMATE YIELD LOSS CAUSED BY ASIAN SOYBEAN RUST. Summa Phytopathol., Botucatu, v. 41, n. 4, p. 262-269, 2015. Disponível em: < https://www.scielo.br/pdf/sp/v41n4/0100-5405-sp-41-4-0262.pdf >, acesso em: 15/07/2025.
EMBRAPA. FERRUGEM ASIÁTICA DA SOJA. Embrapa, s. d. Disponível em: < https://www.infoteca.cnptia.embrapa.br/infoteca/bitstream/doc/1001340/1/010001.pdf >, acesso em: 15/07/2025.
GODOY, C. V. et al. BOAS PRÁTICAS PARA O ENFRENTAMENTO DA FERRUGEM-ASIÁTICA DA SOJA. Embrapa, Comunicado Técnico, n. 92, 2017. Disponível em: < https://www.infoteca.cnptia.embrapa.br/infoteca/bitstream/doc/1074899/1/ComTec92OL.pdf >, acesso em: 16/07/2025.
GODOY, C. V. et al. EFICIÊNCIA DE FUNGICIDAS PARA O CONTROLE DA FERRUGEM-ASIÁTICA DA SOJA, Phakopsora pachyrhizi, NA SAFRA 2023/2024: RESULTADOS SUMARIZADOS DOS ENSAIOS COOPERATIVOS. Embrapa Soja, Circular Técnica, n. 206, 2024. Disponível em: < https://www.infoteca.cnptia.embrapa.br/infoteca/bitstream/doc/1165843/1/CT-206-Claudia-Godoy.pdf >, acesso em: 15/07/2025.
OLIVEIRA, G. M. et al. COLETOR DE ESPOROS: DESCRIÇÃO, USO E RESULTADOS NO MANEJO DA FERRUGEM-ASIÁTICA DA SOJA. Embrapa Soja, Circular Técnica, n. 167, 2020. Disponível em: < https://www.infoteca.cnptia.embrapa.br/infoteca/bitstream/doc/1129482/1/Circ-Tec-167.pdf >, acesso em: 16/07/2025.
SEIXAS, C. D. S. MONITORAMENTO DE Phakopsora pachyrhizi NA SAFRA 2022/2023 PARA TOMADA DE DECISÃO DO CONTROLE DA FERRUGEM-ASIÁTICA DA SOJA. Embrapa Soja, Circular Técnica, n. 201, 2023. Disponível em: < https://www.embrapa.br/en/busca-de-publicacoes/-/publicacao/1161565/monitoramento-de-phakopsora-pachyrhizi-na-safra-20222023-para-tomada-de-decisao-do-controle-da-ferrugem-asiatica-da-soja >, acesso em: 16/07/2025.
SOARES, R. M. et al. MANUAL DE IDENTIFICAÇÃO DE DOENÇAS DE SOJA. Embrapa Soja, Documentos, n. 256, ed. 6, 2023. Disponível em: < https://www.infoteca.cnptia.embrapa.br/infoteca/handle/doc/1158639 >, acesso em: 15/07/2025.




