O potássio (K) é um dos macronutrientes essenciais para o crescimento e desenvolvimento das plantas, estando intimamente relacionado ao rendimento das culturas produtoras de grãos. Nesse contexto, a adubação potássica é uma prática frequente e necessária em ambientes agrícolas para suprir o requerimento das culturas e expectativas de produtividade em lavouras comerciais.
Entretanto, embora a importância da adubação potássica seja reconhecida, não há um consenso frente as recomendações de manejo para essa prática, sendo possível observar divergências entre recomendações para uma mesma cultura, uma vez que elas se baseiam em sistemas regionais. Recentemente, um estudo desenvolvido por Frosi e colaboradores (2026) comparou as recomendações de potássio para soja, milho e trigo, utilizadas no Brasil e Paraguai, destacando suas semelhanças e diferenças. De acordo com Frosi et al. (2026), onze sistemas de recomendação de fertilizantes potássicos foram analisados, incluindo 10 brasileiros e um paraguaio.
Figura 1. Mapa do Brasil e do Paraguai ilustrando o alcance dos sistemas de recomendação de potássio analisados por Frosi e colaboradores (2026).

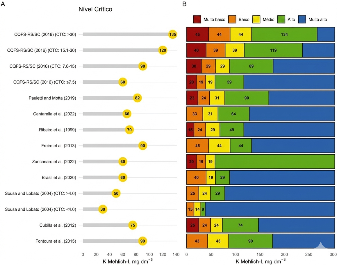
Os resultados observados por Frosi et al. (2026) evidenciam uma alta inconsistência entre os sistemas, mesmo quando aplicados a condições semelhantes de solo e produtividade. Uma das principais discrepância encontradas foi a ampla variação no nível crítico de potássio no solo, que oscilou entre 30 e 135 mg dm⁻³, representando uma diferença de até 3,5 vezes entre os sistemas avaliados.
Além disso, as doses recomendadas de K₂O variaram drasticamente para um mesmo nível de produtividade esperado. Para a soja (3 Mg ha⁻¹), as recomendações variaram de 58 a 375 kg ha⁻¹, enquanto para o milho (10 Mg ha⁻¹) variaram de 97 a 375 kg ha⁻¹, e para o trigo (4 Mg ha⁻¹), de 62 a 330 kg ha⁻¹ (Frosi et al., 2026).
Outro ponto crítico observado foi a discrepância nos teores de K no solo considerados suficientes para dispensar adubação. Em alguns sistemas, a ausência de recomendação ocorre com valores próximos de 50 mg dm⁻³, enquanto outros ainda indicam aplicação mesmo com níveis superiores a 500 mg dm⁻³, evidenciando diferenças que podem ultrapassar 900% entre abordagens. Frosi et al. (2026) atribuem a essas discrepâncias, principalmente as diferenças metodológicas como uso ou não da capacidade de troca de cátions (CTC) na interpretação; as diferentes filosofias de recomendação (suficiência vs. construção e manutenção) e as variações nos métodos de extração e calibração dos nutrientes.
Segundo Frosi et al. (2026), os sistemas de recomendação de fertilizantes potássicos no Brasil apresentam níveis críticos semelhantes, com média de 77 mg dm⁻³ e variação entre 50 e 90 mg dm⁻³, refletindo a similaridade na dinâmica do potássio nos solos e a consistência na resposta das culturas. Entretanto, quando a recomendação considera a CTC (pH 7,0), observa-se relação positiva entre CTC e nível crítico: solos com CTC baixa tendem a apresentar níveis críticos menores, enquanto solos com CTC elevada exigem níveis mais altos. De acordo com os autores, diferenças entre sistemas, mesmo em condições semelhantes, estão associadas principalmente à metodologia adotada (profundidade de amostragem, critério de rendimento relativo e modelo estatístico), podendo mais de 50% da variação ser explicada por esses fatores.
Figura 2. Nível crítico de potássio (K) em cada sistema de recomendação (definido como o limite superior da classe de disponibilidade média) (A) e as classes de disponibilidade de K e a amplitude de cada classe entre os sistemas de recomendação (B).

Nesse contexto, entende-se que cada sistema apresenta uma curva distinta de recomendação, mesmo para o mesmo teor de K no solo, destacando uma ausência de convergência entre os sistemas de recomendação. Como consequência, a falta de padronização dificulta a adoção das recomendações pelos produtores, reduz a confiabilidade dos sistemas e pode levar tanto à subadubação quanto ao uso excessivo de fertilizantes. Assim, a padronização metodológica é essencial para reduzir variações e permitir o estabelecimento de valores médios mais consistentes.
Confira o estudo completo desenvolvido por Frosi e colaboradores (2026) clicando aqui!
Referências:
FROSI, G. COMPARISON OF POTASSIUM FERTILIZER RECOMMENDATIONS FOR GRAIN CROPS IN BRAZIL AND PARAGUAY. Soil Science Society of America Journal, 2026. Disponível em: < https://acsess.onlinelibrary.wiley.com/doi/10.1002/saj2.70227 >, acesso em: 10/04/2026.





